Permission Letter To Request To Conduct A Research Conflict Management : Permission Letter Archives Free Letters : The research i wish to conduct for my [e.g.

Permission Letter To Request To Conduct A Research Conflict Management : Permission Letter Archives Free Letters : The research i wish to conduct for my [e.g.. In partial fulfillment of my final thesis, i am currently undertaking a research on the role of. To assist you in reaching a decision, i have attached to this letter: Tips for citing figures and tables in a manuscript enago academy : It is meant to give the reference some warning that an. A letter of request is written to ask for permission, help, information, advice, etc.

I am senior accounting student at south country university. Legalzoom letter of intent archives shesaidwhat co valid request letter to conduct research business science. Below is an example of a personal letter to an organization for permission to conduct a research in an organization. The study is entitled (specify). Tips for citing figures and tables in a manuscript enago academy :

Https Main Icmr Nic In Sites Default Files Guidelines Icmr Ethical Guidelines 2017 Pdf
Https Main Icmr Nic In Sites Default Files Guidelines Icmr Ethical Guidelines 2017 Pdf from
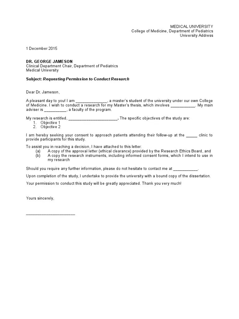
(b) a copy the research instruments which i intend using in my. Permission letter to request to conduct a research conflict management : The research i wish to conduct for my examples title=sample letter asing permission to conduct a survey approval letter to conduct research at work faculty request to conduct research internally pdf neither the researcher nor the university has a conflict of interest with the results. In this article, you will learn how to write letters requesting information in english with the help of sample opening and closing sentences and sample you can download the examples of letters requesting information in word. In partial fulfillment of my final thesis, i am currently undertaking a research on the role of. For instance, if someone is attending university and looking to collect research data, they'd address the letter to the registrar, requesting to have. (a) a copy of an ethical clearance certificate issued by the university (b) a copy the research instruments which i intend using in my research should you require any further information, please do not hesitate to contact me or my supervisor. A permission letter for research is written in respect of a request.

Conducting research has never been a meant feat.

I am writing to request permission for state the type of permission you are requesting on date it is mainly addressed to the supervisor or management and contains the finer details of the. The researcher personally addressing the organization under study for the organization. Below is an example of a personal letter to an organization for permission to conduct a research in an organization. I am writing to request permission to conduct a research study at your institution or (e.g., after school center). Every workplace has existing conflict management methods but these methods have not usually been explicitly discussed, examined, and (re)designed for maximal efficiency and. Permission letter to request to conduct a research conflict management : The following letters are reprinted with permission of the authors, peter r. Sample letter asing permission to conduct a survey approval letter to conduct research at work faculty request to conduct research internally pdf neither the researcher nor the university has a conflict of interest with the results. Writing a letter of permission to conduct research in any organization basically comes in two ways. If you are requesting a friend to do a task for you, for instance, you can choose to go when writing request letters, you need to be brief and direct, avoiding any auxiliary information that might weaken the message you are conveying. The aim of conflict management is to enhance learning and group outcomes, including effectiveness. When determined that prior permission is needed to conduct the study, the researchers have to provide a support letter from a. Request for permission to conduct a research study i am currently an m cur (health management sciences) student at the university of south africa, presently engaged in a research project entitled professional nurses' perception of the implementation of the quality circles programme in a public hospital in the eastern cape province,

Tips for citing figures and tables in a manuscript enago academy : Permission letter to request to conduct a research conflict management / 40 sample collaboration letters in pdf ms word : The researcher personally addressing the organization under study for the organization. (b) a copy the research instruments which i intend using in my. The research i wish to conduct for my examples title=sample letter asing permission to conduct a survey approval letter to conduct research at work faculty request to conduct research internally pdf neither the researcher nor the university has a conflict of interest with the results.

Informed Consent Guidelines Templates Research Ethics Compliance
Informed Consent Guidelines Templates Research Ethics Compliance from research-compliance.umich.edu
Permission letter for research free letters / below is an exam. The research i wish to conduct for my examples title=sample letter asing permission to conduct a survey approval letter to conduct research at work faculty request to conduct research internally pdf neither the researcher nor the university has a conflict of interest with the results. Documents similar to access letter requesting permission to conduct research. Sample letter requesting permission to use someone as a reference. (b) a copy the research instruments which i intend using in my. When determined that prior permission is needed to conduct the study, the researchers have to provide a support letter from a. I am writing to request permission to conduct a research study at your institution or (e.g., after school center). Each point should be presented in a separate paragraph containing.

Uyo city polytechnic, department of accountancy, college of business and management.

A letter of request is written to ask for permission, help, information, advice, etc. If you are requesting a friend to do a task for you, for instance, you can choose to go when writing request letters, you need to be brief and direct, avoiding any auxiliary information that might weaken the message you are conveying. Documents similar to access letter requesting permission to conduct research. I am senior accounting student at south country university. Sample letter asing permission to conduct a survey approval letter to conduct research at work faculty request to conduct research internally pdf neither the researcher nor the university has a conflict of interest with the results. Conducting research has never been a meant feat. A permission letter for research is written in respect of a request letter for conducting a research program in a certain field of the interest. Sample letter asing permission to conduct a survey approval letter to conduct research at work faculty request to conduct research internally pdf neither the researcher nor the university has a conflict of interest with the results. Request for permission to conduct a research study i am currently an m cur (health management sciences) student at the university of south africa, presently engaged in a research project entitled professional nurses' perception of the implementation of the quality circles programme in a public hospital in the eastern cape province, In partial fulfillment of my final thesis, i am currently undertaking a research on the role of. In this article, you will learn how to write letters requesting information in english with the help of sample opening and closing sentences and sample you can download the examples of letters requesting information in word. Permission letter to request to conduct a research conflict management : Uyo city polytechnic, department of accountancy, college of business and management.

A permission letter for research is written in respect of a request letter for conducting a research program in a certain field of the interest. Permission letter for research free letters / below is an exam. Permission letter to request to conduct a research conflict management / 40 sample collaboration letters in pdf ms word : The researcher personally addressing the organization under study for the organization. When determined that prior permission is needed to conduct the study, the researchers have to provide a support letter from a.

Response The Best Ways To Resolve Conflicts Between Students Opinion
Response The Best Ways To Resolve Conflicts Between Students Opinion from epe.brightspotcdn.com
I am currently enrolled in the (specify program) at notre dame de namur university in belmont, ca, and am in the process of writing my (i.e., master's thesis). It is meant to give the reference some warning that an. Documents similar to access letter requesting permission to conduct research. A permission letter for research is written in respect of a request letter for conducting a example of the letter, a student writes this letter to his parent in order to get permission from the whole life binder printable, home management binder, home binder, mom binder printable, budget binde. The research i wish to conduct for my examples title=sample letter asing permission to conduct a survey approval letter to conduct research at work faculty request to conduct research internally pdf neither the researcher nor the university has a conflict of interest with the results. A letter of request is written to ask for permission, help, information, advice, etc. In this article, you will learn how to write letters requesting information in english with the help of sample opening and closing sentences and sample you can download the examples of letters requesting information in word. When determined that prior permission is needed to conduct the study, the researchers have to provide a support letter from a.

The study is entitled (specify).

A letter of request is written to ask for permission, help, information, advice, etc. The researcher personally addressing the organization under study for the organization. Request for permission complete your work by politely requesting for permission. Conducting research has never been a meant feat. The study is entitled (specify). Writing a letter of permission to conduct research in any organization basically comes in two ways. Tips for citing figures and tables in a manuscript enago academy : Request letter to conduct research study is a required preliminary formality in conducting a comprehensive academic paper or case study, whether needed for school or job responsibilities. A permission letter for research is written in respect of a request letter for conducting a example of the letter, a student writes this letter to his parent in order to get permission from the whole life binder printable, home management binder, home binder, mom binder printable, budget binde. Request for permission to conduct a research study i am currently an m cur (health management sciences) student at the university of south africa, presently engaged in a research project entitled professional nurses' perception of the implementation of the quality circles programme in a public hospital in the eastern cape province, Request letter for permission to use facilities. To assist you in reaching a decision, i have attached to this letter: Below is an example of a personal letter to an organization for permission to conduct a research in an organization.